下载app免费领取会员
文章来源:铁路BIM联盟

铁路隧道正逐步实现其BIM正向设计,多以隧道本身所携带的信息为BIM设计重点,但隧道在使用中可能发生的外界激励导致的自身结构性能优劣不能忽略
隧道设计规范指出:隧道衬砌在外界因素的刺激下,应具备较强的结构稳定性,以较大程度保护隧道结构与车辆的安全。根据隧道运营统计数据,列车在小半径曲线隧道处运行时存在极高的脱轨倾覆风险。
因此,基于BIM平台,结合传统的非线性大变形有限元(简称FE)设计理论,以“BIM+FE”手段设计和建立合理的隧道吸能防护系统至关重要。
本文以某小曲线半径隧道为研究对象,以某9编组动力集中动车组作为外界干扰源来碰撞曲线隧道,针对曲线隧道的自身结构和耐碰撞特性,提出适用于该曲线类隧道结构形式的吸能防护系统,利用LS-DYNA软件对该隧道防护系统的碰撞性能进行仿真分析,并按一定规则将此系统安装在曲线隧道最易发生脱轨事故的圆曲线区段,进行整车碰撞仿真,获得吸能防护系统对该隧道抗外界干扰性能的改进情况。
隧道-车辆模型的创建
隧道模型的创建
隧道BIM正向设计流程
铁路隧道BIM设计基于Bentley二次开发的隧道正向设计软件实现,主要包括属性标准定义、数据资料准备、廊道模板创建、洞身设计建模、洞口设计建模及辅助通道洞室建模,最终输出隧道工程数量表等。
设计前期,先依照铁路BIM联盟发布的IFC/IFD编码标准创建ECSchema文件,并用设计工具创建标准构件及模板。在开始建模时,参考地模、地质和路线模型,利用标准构件和模板完成洞身、洞口、辅助硐室及辅助坑道的设计建模,并依靠模型进行受力结构分析计算。
设计人员以分析计算结果为参考对模型进行深化设计,并完成隧道模型配筋建模,最后完成隧道模型总装,并生成隧道模型、图纸、工程数量表、结构计算报告文件。

隧道BIM正向设计流程
隧道BIM+FE模型创建
以某小曲线半径的铁路隧道为研究对象,其洞身区段由中间盾构隧道、两端明挖隧道和始发、接收盾构井构成。其中盾构区段作为该隧道洞身的主要组成部分,全长11.36km,最小圆曲线半径为2200m。

隧道线路示意图
参考地质、地形和线路模型,根据地质纵断面图标识的围岩等级,利用基于BentleyPowerCivil软件二次开发的隧道建模工具,设计并创建出适合该段线路明挖和盾构的隧道廊道模板。根据设计要求意图,在盾构井点设计并创建始发、接收盾构井模型,利用具备基于IFC/IFD编码标准属性的隧道廊道模板在相应的明挖和盾构里程创建相应预设区段的隧道洞身模型,依据地形与地质特征以及所建立的洞口段洞身的形状特征,设计与创建进出口洞口模型,最终生成LOD3.0等级的隧道BIM设计模型。其中洞身模型包括初期支护、二衬、防排水沟、电缆槽、中心排水沟、各类盖板以及路轨组件等。

隧道BIM模型及构件细节
基于创建的隧道BIM模型与FE理论,利用HyperMesh14.0软件将小曲线所在的隧道盾构区段的BIM模型离散成FE模型。其中,用8节点实体单元对衬砌、回填、轨道等主体结构进行离散,各盖板则用4节点壳单元进行离散,洞内设备则用质量单元来模拟。构件之间设置面面接触以防止穿透。模型共有3178336个单元。

曲线段盾构隧道有限元模型
列车FE模型创建
以某9编组动力集中动车组作为外界干扰源来碰撞曲线隧道。为使得仿真结果更加精确,需从转向架、车体等方面对列车进行合理而精准的FE模型创建。
转向架建模技术
转向架是车辆的走行部件,也是车体与钢轨之间的重要传力部件,在本碰撞仿真中,由于研究与考核的对象为隧道结构,因此,转向架FE建模时不需要与三维模型完全一致,但其主体结构、牵引装置、悬挂弹簧和轮轨关系必须要遵循特定的要求。
其中,用Beam单元与车体枕梁和牵引装置之间的ContactSpotweld类型的接触来模拟连接螺栓;利用6DOF的DISCRETEBEAM单元给空气弹簧和轴箱弹簧设置预压力的方法来平衡车体的初始重力;利用LS-DYNA中的*INITIAL_VELOCITY_GENERATION关键字在轮对与轴箱间建立转动副以施加转动角速度。基于上述主体结构、牵引装置、悬挂弹簧和轮轨关系的简化要求,最终建立9编组动车组转向架的碰撞FE模型。

动车组转向架碰撞FE模型
其中壳单元设置为Belytschko-Tsay积分算法,实体单元设置为constantstresssolidelement积分算法,离散梁单元设置为discretebeam积分算法。
车体结构建模技术
由于车体为大型铝合金车体,所以选择壳单元对其进行结构离散。通过抽取中面的方法先将所建立的实体模型转换成中面模型,并且中面模型须具备和实体模型完全一致的组件连接关系(焊接关系)。
利用HyperMesh14.0软件对车体中面模型进行网格划分。由于车体端部为主要变形区,且网格的最小尺寸影响显式中心差分法的时间步长,最终影响碰撞计算的时间成本,所以应采用“端部细画,中间粗画”的原则对车体结构进行4节点薄壳单元离散,车上设备则采用质量单元模拟,并通过3节点梁单元与车体连接,各车钩和防爬器通过LS-DYNA的固连接触来实现与车体安装连接。

动车组车体FE模型
9编组列车的连挂编组
列车在隧道内运行时,为了确保列车各车辆转向架与钢轨之间有真实的轮轨接触关系,根据隧道的BIM+FE模型,从横向、垂向和纵向的角度确保列车在隧道内的空间位置客观合理,且采用具有条件失效的固连接触来保证车辆之间准确的车钩连挂方式。将9编组列车的整体模型置于隧道圆曲线处。

列车空间连挂编组图
碰撞分析与响应研究
隧道+车辆(BIM+FE)碰撞模型及边界条件
利用HyperMesh14.0软件,综合隧道和列车FE模型形成碰撞系统。该碰撞系统中,共有实体单元3477582个,壳单元2168105个,梁单元9898个,碰撞质量为612t,轮轨接触面上设置面面接触,并在碰撞端部设置单面接触,列车与隧道内壁之间设置面面接触。

隧道+车辆碰撞FE模型
参考EN15227标准与国内外隧道事故统计,给系统模型施加下表所列的碰撞边界条件来研究隧道在列车碰撞激扰下的洞身结构响应。

碰撞仿真与计算结果
利用LS-DYNA软件的非线性大变形算法对本大型碰撞系统进行求解。在计算时,将积分时间步长设置为10-6s,碰撞终止时间设为500s。在整个碰撞过程中,隧道衬砌结构的变形情况与应力分布如下图所示。

隧道压溃变形情况与应力分布
碰撞结束后,除列车车体结构吸收能量之外,隧道结构发生了较大的弹性变形参与了24.6MJ能量的吸收与释放,并在与车辆的碰撞处发生了明显的裂纹,其余动能与摩擦热的形式消耗。
隧道吸能防护系统设计
隧道吸能防护系统的组成与吸能分配
由上节计算结果可知:在第155ms之前,碰撞变形吸能均由头车车体承担,隧道衬砌发生了轻微的横向变形,在第286ms时,头车压溃变形到极限而列车动能仍然巨大,中间列车车体开始变形吸能,但头车巨大的动能无法吸收导致头车与隧道之间的界面力骤增,隧道的横向变形持续增大,直至超过了其强度极限产生裂纹。
根据隧道设计规范,为了保证隧道的安全性,可在隧道内部设计吸能防护系统进行能量吸收。因此,该吸能防护系统必须具备的吸能水平是在压溃行程不超过1m时,最小吸能量为24.6MJ,为了使变形过程有序而稳定地进行,本文所设计出两级吸能防护系统分为多个相同而循序排列的子系统,各子系统由弧箱蜂窝铝、剪切螺栓和锥形变截面方管等吸能元件组成。

隧道吸能防护系统安装
其中,“蜂窝铝箱-锥形方管”两级吸能组件为隧道吸能防护系统的核心结构,各级元件的吸能分配情况见下表。

隧道吸能防护系统吸能特性仿真
铝芯、薄壁管模型参数
弧箱铝结构作为一级吸能元件,当隧道受到碰撞激扰时首先投入变形吸能,并且应当具备平稳的压溃变形过程,故采用材料牌号为AL5052-H32防锈铝合金蜂窝结构作为弧箱铝结构的基本材质与形态;锥形方管作为二级吸能元件,是该吸能系统的主要吸能元件,故采用双排锥形变截面正方管,其材质为AL6061-T4挤压型材铝合金。利用剪切螺栓将蜂窝铝箱体与锥形方管连接,通过高强螺栓将锥形方管隧道连接。

弧箱蜂窝铝和锥形方管基本尺寸
分级吸能防护子系统的吸能水平分析
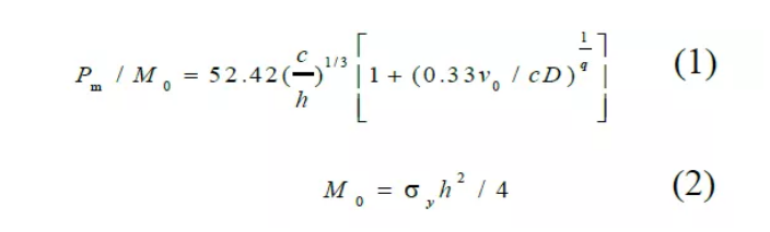
在LS-DYNA软件中,选用不考虑温度效应的简化Johnson-Cook弹塑性材料模型来模拟蜂窝铝箱材料特性;选用Cowper-Symonds弹塑性材料模型来模拟锥形方管的应力-应变特性。锥形变截面方管是该吸能防护子系统的基本吸能部分,在其被轴向压溃变形的过程中,斜边长度、平均轴压力及壁厚之间的数学关系如下所示

式中,Pm—平均轴压力;M0—单位完全塑性弯矩;c—方管斜边度;h—方管厚度;D、q—材料模型常数。
基于子系统各个元件的三维模型,建立下图所示的FE模型。

图中,锥形方管与隧道安装端固定约束,一面刚性墙以50km/h的恒定速度对二级吸能子系统进行压溃,将蜂窝铝箱和锥形方管分别定义单面接触,以避免在其压溃变形的过程中产生自我穿透,蜂窝铝箱和锥形方管间定义面面接触。
将上述碰撞模型的k文件提交LS-DYNA程序进行求解计算。蜂窝铝首先参与压溃过程,且变形平稳,承受的压力分布在蜂窝径向方向且均值稳定在3.5MN,t=52ms时,蜂窝铝被完全压溃而失效,行程约为395mm,吸能约1.5MJ,界面压力骤增至12.25MN,剪切螺栓被剪断失效,锥形变截面管被触发参与变形吸能,界面力继而趋于6.125MN保持稳定,t=110ms时,锥形方管变形结束,系统压溃行程约为985mm,总吸能量约为6MJ。
隧道吸能防护系统改进分析
具有吸能防护系统的隧道-车辆碰撞分析
将上节隧道吸能防护系统按照合理的布置规则安装在盾构隧道的最易发生事故的圆曲线区段内,并使列车以180km/h的初始速度与隧道发生碰撞,其余条件不变。

装有吸能防护系统的隧道撞变形过程
由图可知,隧道吸能防护系统几乎全部投入变形吸能,且变形过程有序进行,显著缓解了列车巨大动能给隧道造成的冲击,避免了裂纹的出现。沿着列车运行方向,各两级吸能组件逐个参与变形吸能。
安装吸能防护系统前后隧道碰撞性能比较
由于碰撞界面力和隧道衬砌横向位移是隧道耐碰撞性能的关键考核条件,两者均决定了隧道结构的安全性和稳定性。因此,将安装吸能防护系统前后隧道承受撞击力和衬砌结构的横向位移进行对比研究。安装吸能防护系统前后对比如下。

撞击力-时间曲线对比

衬砌横向位移-时间曲线对比
在未安装吸能防护系统时,衬砌承受的撞击力初始峰值较大,必然导致衬砌结构承受巨大的冲击加速度,且界面力均值较大;安装吸能防护系统之后,各个防护子系统依次参与承载变形,且每次子系统表现出两级吸能状态,大大降低了整个过程的撞击力均值,并降低了衬砌本身承受的撞击力。
在未安装吸能防护系统时,衬砌平均横向位移约为31mm,安装吸能防护系统使得横向位移降低至16mm,显著提高了衬砌结构的耐碰撞安全性。
本文以盾构隧道BIM正向设计为出发点,以某小曲线半径隧道为研究对象,以“BIM+FE”的手段设计和建立了合理的隧道吸能防护系统以提高隧道衬砌的碰撞安全性,并分析了该系统的碰撞吸能特性,最终对比了安装隧道吸能防护系统前后衬砌承受撞击力和横向位移的变化情况。综合本文的分析,得出如下结论。
“蜂窝铝-锥形方管”两级吸能防护结构可降低撞击力初始峰值,并使变形有序。
变截面方管的锥度使得承载截面渐增,便利了褶皱往其中空区域有序溃缩;弧箱型蜂窝铝结构使得撞击力在接触面上渐增,提高了压溃过程的平稳性。
采用文中的隧道吸能防护系统,使隧道衬砌结构按照设计意图变形,显著改善隧道洞身的碰撞安全性。
随着计算机性能的进步,BIM技术与FE手段的联合为铁路隧道设计阶段在结构改进与安全校核方面提供了便利,进一步开拓了BIM模型的应用范畴。
内容来源:
中铁二院工程集团有限责任公司(铁路BIM联盟成员单位)
刘沛,赵亮亮,董凤翔.
基于BIM+FE技术的铁路隧道吸能防护系统研究[J].铁道标准设计.
Revit中文网作为国内知名BIM软件培训交流平台,几十万Revit软件爱好者和你一起学习Revit,不仅仅为广大用户提供相关BIM软件下载与相关行业资讯,同时也有部分网络培训与在线培训,欢迎广大用户咨询。
网校包含各类BIM课程320余套,各类学习资源270余种,是目前国内BIM类网校中课程最有深度、涵盖性最广、资源最为齐全的网校。网校课程包含Revit、Dynamo、Lumion、Navisworks、Civil 3D等几十种BIM相关软件的教学课程,专业涵盖土建、机电、装饰、市政、后期、开发等多个领域。
需要更多BIM考试教程或BIM视频教程,可以咨询客服获得更多免费Revit教学视频。
转载请注明来源本文地址:https://www.tuituisoft/bim/185164.html
上一篇:没有了
下一篇:没有了